Ejercicio resuelto ratios. SELECTIVIDAD CASTILLA Y LEÓN 2022 (examen oficial extraordinaria julio)
Ejercicio resuelto ratios. SELECTIVIDAD CASTILLA Y LEÓN 2022 (examen oficial extraordinaria julio)
La empresa Tu Viaje CYL, dedicada al sector turístico en Castilla y León, presenta a 31 de diciembre el siguiente balance, ofreciéndose igualmente la información del año previo (cifras expresadas en euros):
SE PIDE: Analizar la situación relativa a la liquidez y solvencia de Tu Viaje CYL (ratio de liquidez o solvencia a corto plazo y ratio de garantía o solvencia total) haciendo hincapié en la evolución acaecida en estos dos años (t y t-1).
Solución
Cálculo de la liquidez y solvencia del año t y t -1
AÑO T
Liquidez
El ratio de liquidez mide la capacidad de la empresa para poder hacer sus pagos inmediatos con sus activos más corrientes. Indica la liquidez de la empresa
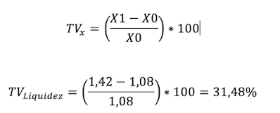
RL= Activo corriente / Pasivo corriente = 185.000/ 130.000 = 1,42
Este dato nos dice que de cada euro de deudas a corto plazo, la empresa dispone de 1,42 euros para pagar con sus activos corrientes. Como el óptimo del ratio es 1,5-2, el dato indica escasez de liquidez. Puede haber dificultad para los pagos más inmediatos.
Solvencia
El rato de garantía mide la capacidad de la empresa para hacer frente al pago de todas sus deudas. Indica la solvencia a la empresa y riesgo de quiebra
RG = Activo / Pasivo = 765.000 / 290.000 = 2,63
Este dato nos dice que de cada euro de deudas, la empresa cuenta con 2,63 euros de activo para hacerles frente. Como el óptimo del ratio es 1,5-2 , el dato indica una buena situación de solvencia para poder pagar las deudas a largo plazo. De hecho, lo que tiene es un exceso de solvencia, por lo que se le recomienda que invierta parte del mismo en inversiones a largo plazo.
AÑO T-1
Liquidez
El ratio de liquidez mide la capacidad de la empresa para poder hacer sus pagos inmediatos con sus activos más corrientes. Indica la liquidez de la empresa
RL= Activo corriente / Pasivo corriente = 135.000/ 124.000 = 1,08
Este dato nos dice que de cada euro de deudas a corto plazo, la empresa dispone de 1,08 euros para pagar con sus activos corrientes. Como el óptimo del ratio es 1,5-2, el dato indica escasez de liquidez. Puede haber dificultad para los pagos más inmediatos.
Solvencia
El rato de garantía mide la capacidad de la empresa para hacer frente al pago de todas sus deudas. Indica la solvencia a la empresa y riesgo de quiebra
RG = Activo / Pasivo = 685.000 / 274.000 = 2,5
Este dato nos dice que de cada euro de deudas, la empresa cuenta con 2,5 euros de activo para hacerles frente. Como el óptimo del ratio es 1,5-2 , el dato indica una buena situación de solvencia para poder pagar las deudas a largo plazo. De hecho, lo que tiene es un exceso de solvencia, por lo que se le recomienda que invierta parte del mismo en inversiones a largo plazo.
Cálculo de la tasa de variación
En la siguiente tabla vemos el resultado de liquidez y solvencia de cada año.
Liquidez | Solvencia | |
Año t | 1,42 | 2,63 |
Año t-1 | 1,08 | 2,5 |
Para conocer cómo han variado las diferentes tasas, recurrimos al cálculo de las tasas de variación. El año anterior es el año t -1 que llamamos "0". El año posterior es el año t que llamamos "1". Así la tasa de variación será:

La empresa ha mejorado su situación de solvencia entre los dos periodos. Ante el exceso de solvencia podría incluso vender parte del activo no corriente para solucionar sus problemas de liquidez a corto plazo.

